-
近日,北京理工大學徐寶華教授團隊在構筑聚離子液體-銀(PIL-Ag)雜...
-
近期,北京理工大學張加濤教授團隊在等離激元光催化材料合成與界面調控方面...
-
近日,北京理工大學前沿交叉科學研究院黃元教授、集成電路學院徐曉龍準聘教...
-
近日,北京理工大學外國語學院助理教授徐翠博士在國際頂級翻譯學期刊Bab...
-
近日,北京理工大學外國語學院助理教授紀悅博士在事件結構的語言與認知方面...
-
北京理工大學智能機器人研究所王化平教授團隊在微納機器人與生物醫學工程領...
-
基于此,北京理工大學化學與化工學院長聘副教授楊文和北京理工大學醫工融合...
-
日前,管理與經濟學院顏志軍教授主持的國家自然科學基金委重點國際(地區)...
-
近期,北京理工大學王金亮教授團隊在構筑基于區域規整異三鹵化端基的高效率...
-
近日,北京理工大學物理學院量子技術研究中心趙清、張博研究團隊與中國科學...
-
2022年下半年,北理工科研團隊分別在鈣鈦礦太陽能電池研究、環二核苷酸...
-
近日,北京理工大學前沿交叉科學研究院黃佳琦教授課題組在金屬鋰電池安全改...
-
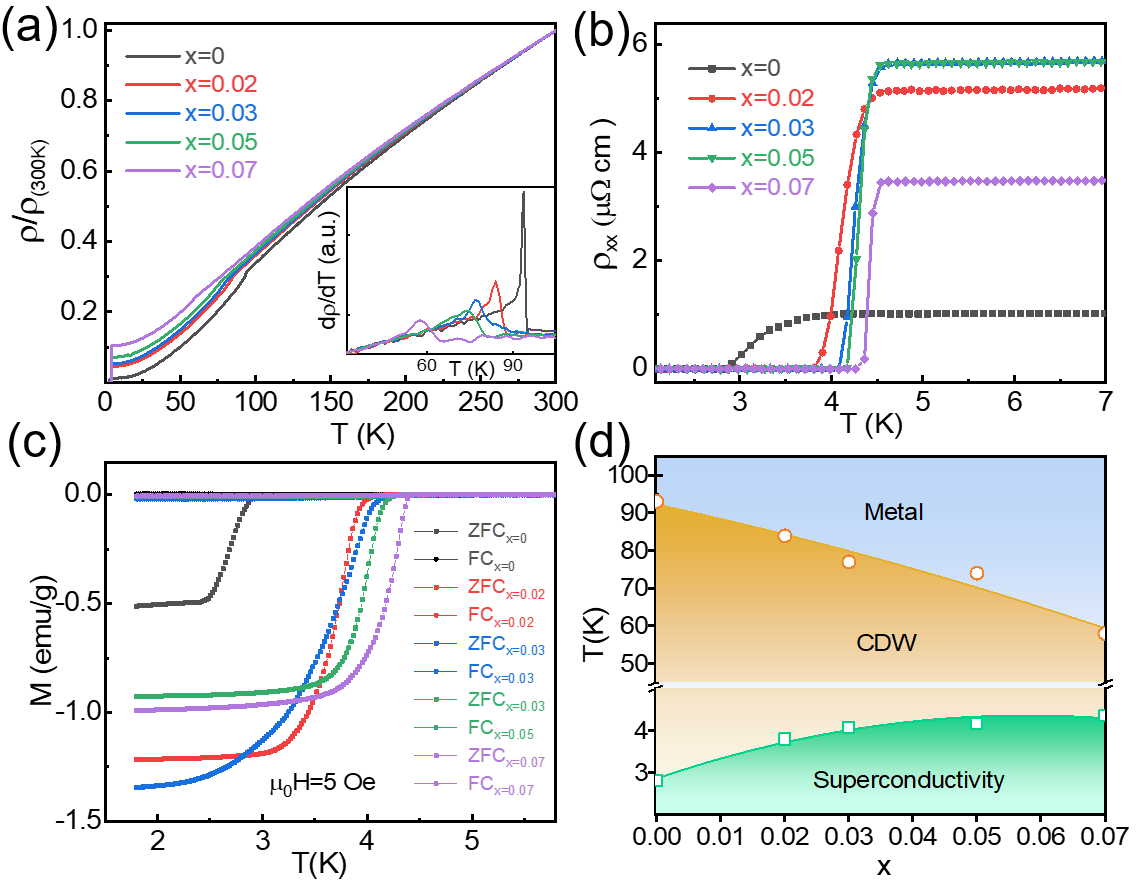
近日,北理工物理學院王秩偉特別研究員、姚裕貴教授團隊在Nb摻雜籠目結構...
-
近日,北京理工大學張帥龍教授在國際生物化學類頂級期刊《Chemical...
-
離散有序組裝體的構筑及性能研究是化學領域的研究熱點,通過拓撲結構的精準...
-
近日,北京理工大學物理學院姚裕貴教授、段俊熙副研究員團隊在轉角石墨烯體...
-
北京理工大學王蔚芝課題組近日與新加坡國立大學陳小元課題組合作,開發了基...
-
北京理工大學王蔚芝課題組近期開發了一種基于點擊化學的多肽功能化識別與調...
-
?10月14日,北京理工大學王博教授團隊在Science上發表文章“C...
-
近日,北京理工大學光電學院許廷發科研團隊在遠程病理成像領域取得新進展,...
-
?10月21日,北京理工大學化學與化工學院趙之平教授團隊在柔性MOF膜...
蓝盾百家乐官网具体玩法|
风水97年农历6月24八字|
威尼斯人娱乐网上百家乐的玩法技巧和规则|
大发888开户大发娱乐权威吗|
琼海市|
大发8888娱乐城|
百家乐官网大赢家书籍|
百家乐招商用语|
威尼斯人娱乐场官网网站是多少|
百家乐官网开户送18元|
太阳城百家乐娱乐开户|
e世博娱乐|
蓝盾百家乐官网平台|
网上百家乐试玩网址|
百家乐官网庄闲局部失衡|
百家乐有没有攻略|
反赌百家乐的玩法技巧和规则|
太阳城伞|
百家乐官网高手心得|
富二代百家乐的玩法技巧和规则|
大发888站群|
百家乐官网如何骗人|
大发888娱乐城备用|
致胜百家乐官网的玩法技巧和规则
|
百家乐官网怎么押钱|
百家乐博娱乐场开户注册|
大发888缺少 casino|
试玩百家乐官网1000|
久胜娱乐|
做生意挂什么画招财|
百家乐是个什么样的游戏|
澳门百家乐官网网上|
太阳城绿萱园|
百家乐官网园云鼎娱乐网|
南通棋牌游戏中心下载|
百家乐网上投注作弊|
明升网|
玩百家乐官网有几种公式|
威尼斯人娱乐城官方网址|
电玩城百家乐官网技巧|
新世纪娱乐成|